Aller au contenu. | Aller à la navigation

Outils personnels

Navigation

Vous êtes ici : Accueil / Membres / Pascal Marchand / Les programmes font-ils l’élection ?

Les programmes font-ils l’élection ?

Macron est-il de droite ? Le Pen est-elle devenue centriste ? Mélenchon est-il d’extrême gauche ? Est-ce que les extrêmes se rejoignent ? Autant de questions, et d’autres, auxquelles l’analyse textométrique des programmes à l’élection présidentielle peut donner des éléments de réponse. C’est produit par la recherche publique. C’est gratuit. C’est ici.

Le saviez-vous ? Une élection présidentielle n’est pas qu’une affaire d’interviews, de débats, de meetings, tous soigneusement calibrés par l’industrie du marketing pour l’industrie médiatique et les réseaux sociaux. Il y a aussi des programmes, qui ont été écrits pour être diffusés et, éventuellement, lus. On peut imaginer qu’ils ont été pensés et que les mots ont été soigneusement choisis.

Tout le monde devrait sans doute lire ces programmes pour se faire une idée des positions et intentions qui motivent (aussi) des candidatures. Si vous l’avez fait, ou si vous vous apprêtez à le faire, ce texte ne vous apportera rien du tout. Sinon, nos méthodes textométriques peuvent fournir une lecture synthétique.

Cette étude est garantie sans nuage de mots, sans intelligence artificielle, sans punch line… Nous cherchons juste à décrire statistiquement les programmes, les mots qui les composent, leurs distances, leurs proximités, leurs spécificités.

Comme d’habitude, le corpus constitué de ces programmes est analysé avec le logiciel libre #Iramuteq développé par Pierre Ratinaud au sein du Lerass et avec le soutien du Labex SMS (université de Toulouse).

Une analyse très synthétique

Les programmes (le corpus)

Lorsque, avec @Emma Recorbet, nous avons commencé à étudier les programmes, toutes les candidatures n’étaient pas déclarées et certaines n’ont pu aboutir, faute de parrainages. Et tous les programmes n’avaient pas encore été diffusés. Nous ne gardons ici que les candidatures officielles, mais nous conservons deux textes qui annonçaient des programmes : celui des Jeunes avec Macron, « parce que c’est notre projet », qui préfigurait le programme #Macron en attendant sa candidature officielle, et celui du parti #LR2022 « Notre projet pour la France 2022 : protéger, libérer, rassembler », qui précédait la diffusion du programme #Pécresse. Le corpus est donc composé des textes suivants :

#Arthaud

Le camp des travailleurs

36 pages

6652 mots

#DupontAignan

L’intégralité du programme

209 pages

82953 mots

#Hidalgo

Ensemble, changeons d’avenir

44 pages

13075 mots

#Jadot

Faire face

131 pages

37710 mots

#Lassalle

La France authentique

12 pages

5063 mots

#LePen

M la France

19 + 8 pages

13183 mots

#Macron

Emmanuel Macron avec vous

13 pages

5842 mots

#Mélenchon

L’avenir en commun

160 pages

25976 mots

#Pécresse

Le courage de faire

16 pages

4863 mots

#Poutou

L’urgence anticapitaliste

32 pages

8266 mots

#Roussel

La France des jours heureux

67 pages

27028 mots

#Zemmour

Pour que la France reste la France

73 pages

23322 mots

JAMacron

Parce que c’est notre projet

28 pages

5696 mots

LR2022

Notre projet pour la France 2022 : protéger, libérer, rassembler

39 pages

10502 mots

On écrit ici les programmes avec des hashtags pour signifier que l’on considère des textes pris comme des objets neutres et non des personnes avec tout ce que nous pourrions en apprécier par ailleurs.

Premiers calculs (les structures)

On calcule d’abord les distances lexicales entre les programmes, qui permettent de faire le premier graphique (cliquez sur les graphiques pour les ouvrir en grand dans une nouvelle fenêtre) :

Distances lexicales entre les programmes (Iramuteq)

Des spécialistes y verraient peut-être des notions de gauche, de centre et de droite… En lisant de bas en haut, on pourrait effectivement partir de l’extrême gauche, passer à une gauche modérée, puis à une droite plus ramassée où on ne distingue pas vraiment de point de passage du modéré à l’extrême.

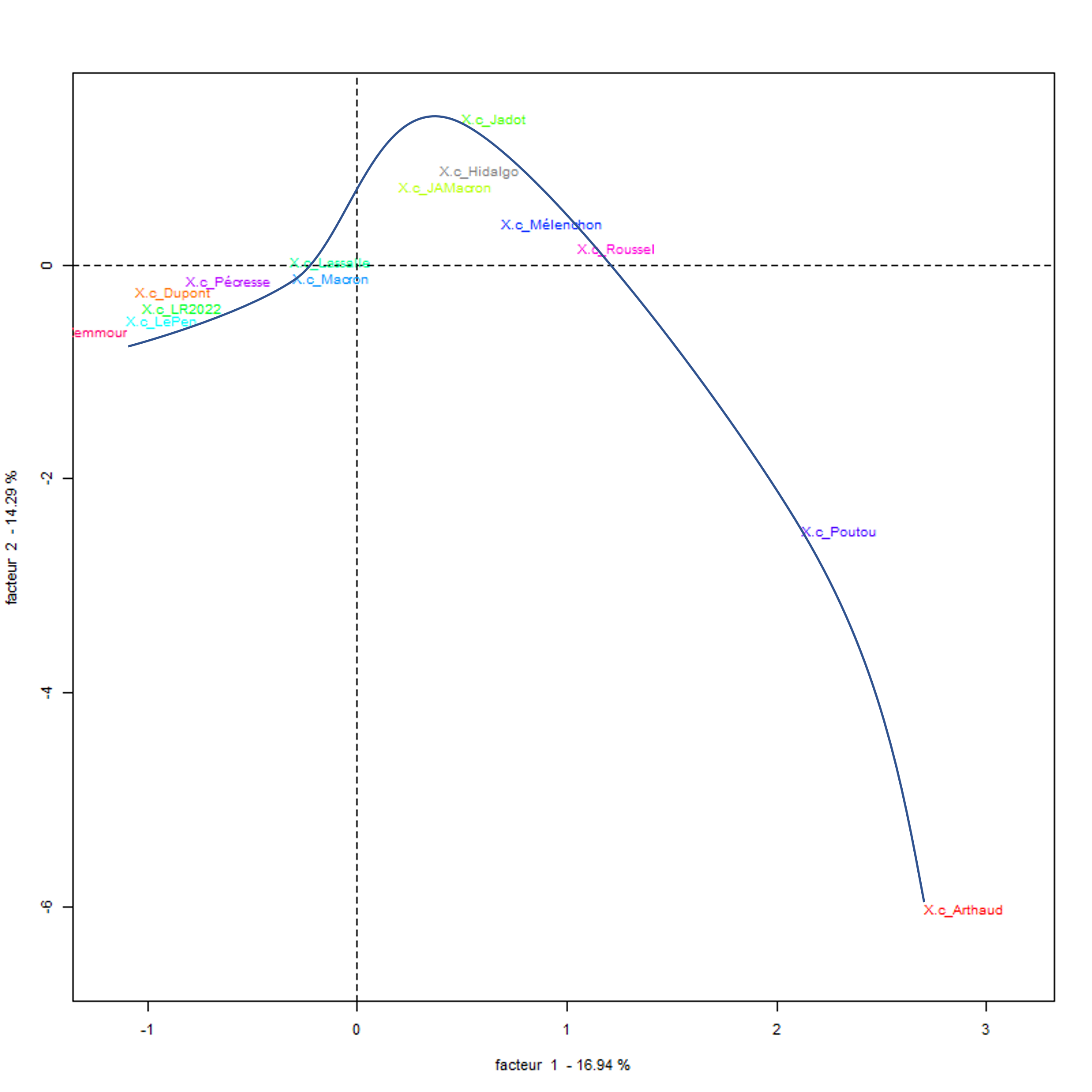
Et c’est confirmé par le graphique « factoriel » suivant, qui montre une distribution particulière (assimilable à un « effet Guttman ») : en partant de #Arthaud jusqu’à #Zemmour, on dessine une courbe qui traduit une évolution linéaire du lexique (notamment sur l’axe horizontal). Des spécialistes y verront peut-être une gradation depuis l’extrême gauche jusqu’à l’extrême droite (qui, soit dit en passant et contrairement à une idée reçue, ne se rejoignent pas du tout).

Colonnes de l'AFC des programmes (Iramuteq)

Quant au lexique, il est représenté sur le graphique suivant. Notez que les couleurs des mots renvoient aux spécificités des programmes du graphique précédent (voir en annexe).

Lignes de l'AFC des programmes (Iramuteq)

De façon un peu simpliste et caricaturale (mais sur la base des « contributions au premier facteur »), on pourrait dire qu’en partant de #Arthaud jusqu’à #Zemmour, on passe progressivement d’un lexique à l’autre :

Du côté de #Arthaud, #Poutou, #Roussel, #Mélenchon, #Jadot, #Hidalgo, on puise plus ou moins dans le lexique :

capitaliste, travailleur, écologique, capitalisme, profit, droit, patronat, salaire, égalité, humain, climatique, jeunesse, public, travail, milliardaire, média, grève, finir, communiste, citoyen, démocratique…

Du côté de #Zemmour, #LePen, #DupontAignan, #Pécresse, #Lassalle, #Macron, on puise plus ou moins dans le lexique :

français, france, étranger, famille, familial, immigration, excellence, ville, pays, mériter, patrimoine, délinquant, prison, peine, transmission, technologie, retraité, assimilation, constat, simplifier, expulser…

Approfondissement (les spécificités)

A partir de là, nous pouvons décrire plus précisément les programmes selon les mots qu’ils choisissent ou qu’ils rejettent et dans l’ordre de cette courbe, de A à Z, donc. On trouvera les détails de ces spécificités en annexe, à la fin de cette synthèse.

Suivant l’ordre des graphiques statistiques, on interprète d’abord les programmes #Arthaud et #Poutou qui puisent dans un lexique fidèle à leur ancrage politique. Ils ne s’embarrassent pas de l’agenda médiatique et de l’air du temps, mais constatent que l’exploitation des travailleurs par la bourgeoisie et le capitalisme sont toujours d’actualité. Ils se distinguent donc radicalement des autres programmes dans cet attachement aux thématiques qui fondent historiquement leurs engagements. Le programme #Arthaud est sans doute, à ce point de vue, le plus radical (dans le sens d’enraciné dans une tradition et une identité).

Viennent ensuite les programmes #Roussel et #Mélenchon, qui se distinguent clairement des deux précédents. Ils sont très proches dans leurs lexiques et on les distinguera éventuellement avec une insistance de #Roussel sur l’emploi, la jeunesse et le service public, et de #Mélenchon sur l’écologie et le changement des institutions politiques.

Le programme #Jadot occupe une position centrale et fait une sorte de nœud entre les précédents et les suivants. Comme pour #Mélenchon, le vocabulaire environnemental est extrêmement présent, mais avec une spécificité à propos de la condition animale. On note aussi l’usage caractéristique du « nous » (voir graphique suivant), mais ça n’entre pas dans le calcul de ces distances.

On retrouve également la sensibilité écologique dans le programme #Hidalgo, qui se singularise par un discours plus conceptuel, avec davantage de verbes déclaratifs, de valeurs et notions générales, et moins de références à des domaines concret.

Les six programmes suivants marquent une opposition significative avec les six précédents. Il apparaît clairement sur les deux premiers graphiques qu’ils se situent tous dans une grande proximité lexicale.

Les programmes #Lassalle et #Macron sont très proches, puisent dans un lexique semblable. On les différencie par une focalisation de #Lassalle sur des enjeux plus locaux, une nécessité de « revoir » et un évitement de l’écologie, quand #Macron développe des considérations plus globales avec une insistance sur la continuité et un évitement du vocabulaire financier.

On le sait, le programme #Macron est apparu assez tardivement. Mais il avait été précédé d’un texte produit par Les Jeunes avec Macron : « parce que c’est notre projet ». Et il est intéressant d’observer que ce texte #JAMacron se situe ici dans une proximité avec les programmes #Jadot et #Hidalgo. Dans notre première analyse avec Emma Recorbet, ce texte #JAMacron était même très proche de celui de « La primaire populaire ». On note donc que le programme #Macron prend ses distances avec les programmes socioécologistes pour se rapprocher des lexiques de #Lassalle et #Pécresse. Il y a donc un candidat qui puise largement dans un lexique libéral économiquement et conservateur socialement et qui, en même temps, est soutenu par un mouvement qui diffuse un lexique social et écologiste.

Le programme #Pécresse est, contrairement à ce qu’on observait avec #Macron, très proche de celui publié par son propre parti, #LR2022, mais il est largement écrit à la première personne (et ce sera également le cas des programmes #LePen et #Zemmour).

Histogramme des pronoms personnels

Le programme #Pécresse insiste sur une qualité personnelle, le courage. Et c’est effectivement un discours offensif qui emprunte largement aux thématiques sécuritaires.

Le programme #DupontAignan a, comme #Jadot, une position de nœud statistique, mais du côté droit de l’échiquier politique. C’est une particularité syntaxique : contrairement aux autres programmes de droite, il évite le « je » (graphique précédent), mais il compense par un recours significatifs à des auto-références.

Les programmes #LePen et #Zemmour, enfin, sont très proches lexicalement. Ils ont recours à un vocabulaire identitaire et sécuritaire, et évitent l’écologie mais également l’économie. On les distinguera éventuellement avec une insistance de #LePen sur l’islamisme et la civilisation (mais évite le mot « femme ») quand #Zemmour préfère parler d’immigration et de souveraineté (mais évite le mot « jeune »).

La proximité lexicale de ces six derniers programmes sur les deux premiers graphiques est une nouveauté. Lors des précédentes élections, il y avait une distance plus grande entre les partis de droite « républicaine » et « extrême ». Aujourd’hui, les frontières entre les programmes ne sont plus aussi claires. Tout semble se passer comme si des notions, autrefois qualifiées « d’extrémistes », étaient devenues acceptables pour les « modérés ». Des spécialistes pourraient peut-être invoquer un élargissement de la « fenêtre d’Overton ». Mais on ne l’observe qu’à droite. A gauche, les partis « radicaux » gardent leur spécificité lexicale et les différences imprègnent davantage les discours.

Bien sûr, les programmes ne font pas l’élection. D’ailleurs, qui les lit ? Ils ne reflètent que des analyses et des perspectives liées par des principes et des visions du monde plus ou moins opportunistes. Et il n’est même pas sûr qu’ils engagent qui que ce soit sur quoi que ce soit. En tout cas, ils ne disent rien de la posture personnelle, de l’incarnation de la fonction, des impressions et sentiments qui se dégagent des bruits médiatiques, des émissions d’infotainment et des commentaires d’experts qui font la fortune des officines de mesure d’opinion, de coaching politique et de media training.

Si cette étude vous intéresse, n’hésitez pas à soutenir la recherche publique française, ses universités et ses projets pour une science ouverte, indépendante et coopérative. 

Annexe : les spécificités des programmes

On compare chaque programme à tous les autres et on calcule le lexique qu’il utilise significativement plus (noté « Dit + ») ou moins (noté « Dit - ») que les autres, ainsi que les trois segments qui le caractérisent (dans leur forme de sortie brute de logiciel pour le moment). On pourrait presque en faire une appli...

#Arthaud

Dit + :

travailleur, capitaliste, bourgeoisie, patronat, battre, classe, ouvrier, profit, droite, salaire, société, capitalisme, intérêt, conscience, renverser, seul, politicien, zemmour, révolutionnaire, gauche, partir, changer, communiste, affirmer, patron...

Dit - :

france, français, national, européen, territoire, santé, formation, jeune, public, place, renforcer, mettre, pays, logement, droit, favoriser, protéger, citoyen, donner, sécurité, notamment, développement, projet, niveau, culture, soutenir, humain, protection...

Segments de texte caractéristiques :

contre l extrême droite vive le camp des travailleurs travailleurs français immigrés une seule classe ouvrière à l opposé des intérêts des travailleurs les politiciens d extrême droite et leur démagogie de caniveau prennent une place de plus en plus importante dans la campagne électorale

il faut affirmer que les travailleurs ont eux_mêmes la force de changer leur sort s ils renouent avec les luttes collectives cela commence par affirmer nos besoins et nos intérêts de travailleurs et par dire qu ils doivent primer sur ceux du patronat

qu ils relocalisent ou délocalisent les capitalistes ne cessent jamais de mener la guerre aux travailleurs pour augmenter la productivité les cadences la polyvalence pour obliger le patronat à créer des emplois les travailleurs ne pourront compter que sur leurs mobilisations et sur rien d autre

#Poutou

Dit + :

sécu, capitalisme, capitaliste, salaire, arrêt, urgence, macron, philippe, pandémie, milliardaire, finir, droite, profit, jeunesse, richesse, pharmaceutique, mobilisations, rupture, candidature, interdiction, humanité, assumer, monde, contrôle, migrant...

Dit - :

français, européen, france, renforcer, enfant, niveau, pays, protection, professionnel, citoyen, nation, numérique, action, union, notamment, collectivité, homme, national, agricole, cas, atteindre, outre_mer, état, valeur, recherche, mer, justice...

Segments de texte caractéristiques :

voter lutter s organiser pour construire un autre monde urgence écologique urgence démocratique urgence sociale urgence sanitaire le capitalisme mène l humanité et la planète à leur perte

le salaire socialisé au coeur d une société pour l émancipation droite et extrême droite veulent en finir avec le salaire socialisé ce qu ils appellent les charges sociales

un programme de rupture et de lutte notre programme est non seulement un programme d urgence mais aussi un programme de rupture qui revendique la nécessité d arracher le pouvoir aux capitalistes en construisant un rapport de forces pour construire un autre monde

#Roussel

Dit + :

emploi, droit, formation, public, nouvelle, proposition, jeunesse, égalité, agir, répondre, social, nouveau, conquérir, développement, processus, élu, féministe, heureux, pôle, objectif, conquête, disposer, conférence, ouvert, logique, salarié...

Dit - :

français, étranger, ville, seul, animal, patrimoine, seulement, campagne, familial, france, système, souhaiter, commercial, exemple, frontière, immigration, unir, lutter, maintenir, prison, européen, famille, environnement, excellence, technique, autorité, retraité...

Segments de texte caractéristiques :

le nouveau service public de l emploi et de la formation proposera à chaque jeune éloigné du travail une formation qualifiante rémunérée cette rémunération s effectuera au niveau du revenu étudiant et la formation délivrée aux jeunes débouchera sur un emploi qui y correspondra

les agents publics les élus et les usagers disposeront de nouveaux droits ces droits permettront de satisfaire les besoins des usagers et l efficacité du service public ils favoriseront l intervention d acteurs de l économie sociale et solidaire ayant déjà expérimenté des formes de gestion démocratique

dans les territoires de nouvelles institutions sont appelées à voir le jour ouvertes sur la société porteuses de nouveaux droits pour les citoyens grâce à leur capacité à planifier démocratiquement les besoins d emplois le processus de leur création et le développement de la formation

#Mélenchon

Dit + :

écologique, humain, bifurcation, eau, constituant, garantir, interdire, public, assemblée, planification, pandémies, peuple, plan, citoyen, instaurer, individuel, assainissement, abroger, planifier, abolir, 6e, libre, commun, créer, refuser, humanité...

Dit - :

milliard, euro, étranger, dépense, valeur, famille, mesure, transition, france, effort, prison, européen, campagne, territoire, ville, innovation, achat, retrouver, permettre, véhicule, terme, transmission, compétence, économique, familial, enseignant...

Segments de texte caractéristiques :

y compris les nappes phréatiques dans la constitution inscrire l accès à l eau son assainissement et le droit à l hygiène comme droit humain fondamental réprimer plus durement les coupures d eau illégales créer un haut_commissariat à l eau pour organiser une gestion 100 publique de l eau

et empêcher toute pollution industrielle ou agricole redonner des moyens humains et financiers aux agences de l eau mettre fin au déclassement des cours d eau et rétablir les cours d eau déclassés atteindre durant le mandat le très bon état écologique et chimique de tous les cours d eau fleuves

notre outil sera la planification puisque le marché et la concurrence ont montré leur incapacité à relever ces défis planification écologique et organisation du pays la bifurcation écologique pour une société de l harmonie l urgence écologique et climatique suppose de rompre avec le système de l argent roi

#Jadot

Dit + :

transition, animal, climatique, européen, climat, écologiste, renforcer, environnemental, soutenir, mettre, garantir, vélo, etat, réformer, pesticide, droit, pratique, collectivité, respect, accompagnement, élevage, particulier, sauvage, transparence, renforcement, vivant...

Dit - :

français, france, jeune, nation, macron, immigration, banque, milliard, voir, étranger, emploi, retraite, monde, peuple, revaloriser, travailleur, élection, refuser, pays, puissance, capitaliste, technologie, aller, mériter, argent, souveraineté...

Segments de texte caractéristiques :

nous interdirons les transports de plus de 8 heures d animaux vivants dans l union européenne ainsi que l interdiction des transports d animaux vivants vers des pays tiers nous arrêterons aussi progressivement l expérimentation animale en accompagnant la transition vers une recherche sans animaux

nous interdirons toutes formes de dressage des spectacles des animaux sauvages et des mises en contact direct entre public et animaux sauvages nous interdirons le dressage et les spectacles des animaux sauvages ainsi que d autres mises en contact directes entre public et animaux sauvages

éduquer et sensibiliser à l éthique animale pour réduire toutes les violences accompagner la transition vers une recherche sans utilisation d animaux renforcer les normes pour protéger les animaux notamment pour les animaux de compagnie dans les élevages ou pour le divertissement

#Hidalgo

Dit + :

parlement, transition, donner, apprendre, biodiversité, accompagnement, rémunération, lutte, climatique, antisémitisme, règle, république, démocratie, rôle, sorte, acteur, artiste, pleinement, portée, mobiliser, écologique, collectivité, alimentaire, carbone, partenaire, réduction, défi...

Dit - :

français, outre_mer, familial, nation, étranger, macron, partir, peuple, animal, seul, constituer, défense, soin, mettre, interdire, ordre, fondamental, supprimer, intérêt, mer, production, base, général, campagne, dette...

Segments de texte caractéristiques :

l école doit être au rendez_vous par de nouvelles pédagogies apprendre par la pratique apprendre à apprendre apprendre à coopérer apprendre dans son environnement dans la nature dans sa commune apprendre les nouveaux langages du numérique apprendre à s informer etc

adapter les règles budgétaires de l ue aux défis du xxie siècle les règles budgétaires européennes ne doivent plus conduire à l austérité et être une entrave à la transition écologique et aux investissements d avenir

parce_que l union fait la france j en appellerai à l intelligence des citoyens je donnerai toute sa place au parlement et je m appuierai sur les associations les syndicats les collectivités territoriales et les acteurs locaux pour nous rassembler dans une république sociale laïque et écologique

#Lassalle

Dit + :

revoir, développer, taille, unité, blanc, conseil, recherche, élève, caisse, préparer, secret, revaloriser, lire, discipline, local, nommer, statut, campagne, pac, adapter, homme, ouvrir, exemple, répartition, suivre, pharmaceutique...

Dit - :

français, écologique, emploi, moyen, prendre, pays, public, besoin, travail, milliard, égalité, femme, soin, protéger, climatique, industriel, gouvernement, violence, action, mettre, compte, modèle, urgence, animal...

Segments de texte caractéristiques :

développer des passerelles entre ruralité et centres urbains par exemple en développant les projets alimentaires territoriaux pour soutenir les circuits courts et les produits locaux dans les cantines entretenir nos paysages chemins et cours d eau en biens communs

revoir la distribution de la pac pour que les aides aillent aux paysans qui respectent leur terre et leurs bêtes non à la spéculation foncière ou à la friche la répartition des aides demeure très inégalitaire

revoir le fonctionnement des ordres médecins infirmiers kinés afin qu ils travaillent mieux entre eux revoir les statuts des professionnels de santé ambulanciers médecins infirmiers aide_soignant sage_femme

#Macron

Dit + :

continuer, pacte, aller, prime, génération, crise, doublement, poursuivre, solution, radical, construire, cyber, poursuite, vivre, nouveau, décarbonation, décliner, soignant, bout, nécessaire, islam, planification, force, retraite, fondamental, bas, préparer, armée, amende, gendarme...

Dit - :

politique, public, milliard, favoriser, intérêt, financier, national, social, privé, mesure, fiscal, recherche, climatique, eau, gouvernement, peuple, éducation, zone, adapter, créer, formation, qualité, marché, dernier, viser, salaire, international...

Segments de texte caractéristiques :

continuer à faire reculer l islam radical poursuite de la fermeture des associations et des mosquées radicales des écoles clandestines de l expulsion de prêcheurs radicalisés du contrôle des financements étrangers

la réforme des retraites a été interrompue par la crise sanitaire nous en proposons une plus simple pour assurer la pérennité du système de retraite pour toutes les générations mieux vivre de son travail tripler la prime dite macron sans charges ni impôts

je vous propose un nouveau contrat social en forme de pacte entre les générations pour que tous nos enfants aient les mêmes chances nous donnerons la priorité à l école l enseignement des savoirs fondamentaux sera étendu et renforcé

#Pécresse

Dit + :

courage, enfant, impôt, zéro, vrai, impunité, talent, supplémentaire, tva, délinquant, protéger, automatique, suppression, livret, école, cher, hausse, expulsion, chance, rénover, écologie, allocation, mère, net, carbone, mathématique, sportif, laïcité...

Dit - :

politique, mettre, permettre, augmenter, état, économique, ensemble, société, international, humain, financier, système, oeuvre, place, service, crise, voir, citoyen, gouvernement, notamment, modèle, peuple, homme, particulier, financement...

Segments de texte caractéristiques :

j aurai le courage de faire les réformes trop longtemps repoussées comme celle des retraites ou de l état j aurai le courage d agir pour réduire la dette les déficits et les impôts qui minent l avenir

Augmentation du plafond du crédit d impôt pour les emplois à domicile de 6 000 euros à 10 000 euros an et 1 500 euros par enfant 30 000 places supplémentaires de crèche un vrai statut pour les aidants familiaux qui s occupent d enfants en situation de handicap ou d’aînés dépendants

le courage de faire combattre l énergie chère suppression de la tva sur les taxes pesant sur l électricité indexation automatique des indemnités de frais kilométriques sur le prix des carburants et suppression du plafond de 40 km entre le domicile et le travail

#DupontAignan

Dit + :

constat, opérationnel, france, technologie, africain, perte, étranger, dupont, aignan, situation, nicolas, nombre, faible, voir, afrique, moyenne, zone, club, biais, peine, français, tonne, aidants, seulement, musée, estimer...

Dit - :

écologique, climatique, public, droit, travailleur, garantir, transition, citoyen, démocratique, social, humain, salarié, lutte, égalité, climat, discrimination, capitaliste, engager, emmanuel, construire, impôt, capitalisme, interdire, démocratie, forêt, peuple...

Segments de texte caractéristiques :

éducation supérieure nouvelles technologies notamment le numérique transition énergétique pour la francophonie vivante véhiculée par les français de l étranger mieux reconnaître et défendre les droits de nos compatriotes vivant à l étranger voir le chapitre français de l étranger

les étrangers résidant en france ont en effet droit à l aspa sous certaines conditions un étranger en situation régulière peut percevoir l aspa sans avoir jamais travaillé ni cotisé en france la complexité du système de retraite français est abyssale

et indexer à l inflation cette allocation proposition de loi déposée par nicolas dupont aignan le 3 novembre 2020 2 cessez de prendre en compte des ressources du conjoint dans le calcul de l allocation aux adultes handicapés proposition de loi déposée par nicolas dupont aignan le 3 novembre 2020 3

#LePen

Dit + :

souhaiter, compatriote, pays, fraude, français, idéologie, islamiste, handicapé, instituer, voeu, importation, famille, oeil, significatif, délinquant, effort, fatalité, manière, civilisation, lieu, également, redevenir, national, part, autorité, tpe, conviction...

Dit - :

écologique, femme, transition, salarié, autonomie, privé, européen, soutenir, ressource, public, organisation, eau, organiser, droit, banque, obligatoire, commun, compte, formation, citoyen, développer, production, faciliter, animal, sport, nouveau, égalité, biodiversité, climat...

Segments de texte caractéristiques :

dans mon esprit l union francophone que je souhaite mettre en place doit regrouper tous les pays pratiquant la langue française sur quelque continent qu ils se trouvent et je souhaite que le contenu de cette union ne soit pas seulement culturel mais aussi économique

mettre fin au vol de la france et des français en luttant contre les fraudes je souhaite mettre en oeuvre sans tarder une politique volontaire pour lutter contre les déserts médicaux la fraude est intolérable

préserver le peuple français de la submersion migratoire parce_que c est le rôle de l état mais aussi parce_que l immense majorité des français le souhaite notre pays doit retrouver la pleine maîtrise de l immigration

#Zemmour

Dit + :

français, france, étranger, idéologique, excellence, mériter, assimilation, fin, immigration, prospérité, refaire, ruralité, nucléaire, expulser, nation, dépenser, défendre, protéger, politique, exigeant, redevenir, exonération, veuf, déclassement, migratoire, famille, euro, tranquillité, préserver, souveraineté...

Dit - :

écologique, financier, travail, garantir, république, égalité, humain, objectif, formation, transition, effectif, commun, passer, cours, crise, prévention, citoyen, charger, autonomie, jeune, populaire, enjeu, voir, création...

Segments de texte caractéristiques :

je renforcerai leurs liens avec la france je permettrai aux français de l étranger de maintenir un lien étroit avec la france créer un guichet unique dédié au retour des français de l étranger

les pme françaises en permettant de déduire 50 de son investissement de son impôt sur la fortune immobilière ifi 27 baisser les impôts pour rendre du pouvoir d achat à tous les français améliorer le niveau de vie des français par

français en situation de handicap l état doit faire plus pour faciliter la vie de millions de français et de familles composant avec le handicap le handicap est un sujet qui touche des millions de français et mesure des efforts réclamés par toutes les familles concernées

 

Actions sur le document

Mots-clés associés :
Navigation
Liens

Le projet R

Laboratoire LERASS

Groupe REPERE

TXM

Image de la semaine

Les graphes produits avec iramuteq peuvent être exporter pour Gephi (http://gephi.org)

graphe exporté dans gephi (http://gephi.org)